
Clinical Genetics Made Ridiculously Simple
Also available on
Description
The burgeoning field of Genetics is a complex and formidable topic for the student and practitioner. It is easy to get lost in the forest for the trees since genetics lends itself anywhere from a basic foundation of DNA and its parts, to a more complicated and nuanced understanding of how these parts work together, what happens when things go wrong, how to diagnose and treat genetic disorders, and the latest advances and areas of hope in genetic research.
Clinical Genetics Made Ridiculously Simple presents a way to rapidly visualize the field as a whole, including basic genetics, chromosomal abnormalities, epigenetic disorders, cancer, screening tests, gene sequencing, CRISPR, homeobox genes, and changing approaches to the clinical diagnosis and treatment of genetic conditions.
The author builds from the basics of genetics and DNA, to an understanding of how our genetic material functions, what we presently know about genetic defects, and cutting edge solutions to these problems. Each topic is carefully taught, one step at a time, so that the student is never lost, all in 112 pages!
Author(s)
Stephen Goldberg, M.D.
Stephen Goldberg, M.D., a graduate of the Albert Einstein College of Medicine, is a researcher, physician, teacher, computer programmer, writer, musician/composer, and past President of the Medmaster Publishing Company for 40 years. Dr. Goldberg has published numerous medical and scientific papers through research at the Albert Einstein College of Medicine, National Institutes of Health, New York Medical College and the University of Miami School of Medicine. He has authored 20 books in a diversity of medical areas, including textbooks of Anatomy, Physiology, Biochemistry, Genetics, Biostatistics and Epidemiology, Neurology, Consciousness, Ophthalmology, Hematology, and Computer Programming, as well as many interactive computer programs on various medical topics, including Atlas of Microbiology and Atlas of Human Diseases. He is Professor Emeritus at the University of Miami Miller School of Medicine, where he taught medical students for 25 years. His reputation is that of an educator who can simplify complex topics. He received the George Paff Most Outstanding Professor Teaching Award11 times at the U of M and was invited in 2004 to be the keynote speaker at the medical school graduation commencement at the Washington University School of Medicine in St. Louis for his work in medical education. He is currently Editor-in-Chief of the Medmaster Publishing Company.
Details
Pages: 112
Publication: Edition 1 (September 15, 2020)
Language: English
ISBN: 9781935660439 eISBN: 9781935660583
Table of contents
Chapter 1. Mendelian Genetics
What Exactly Is a Gene?
Nomenclature
Chapter 2. Mitosis and Meiosis
Mitosis
Meiosis
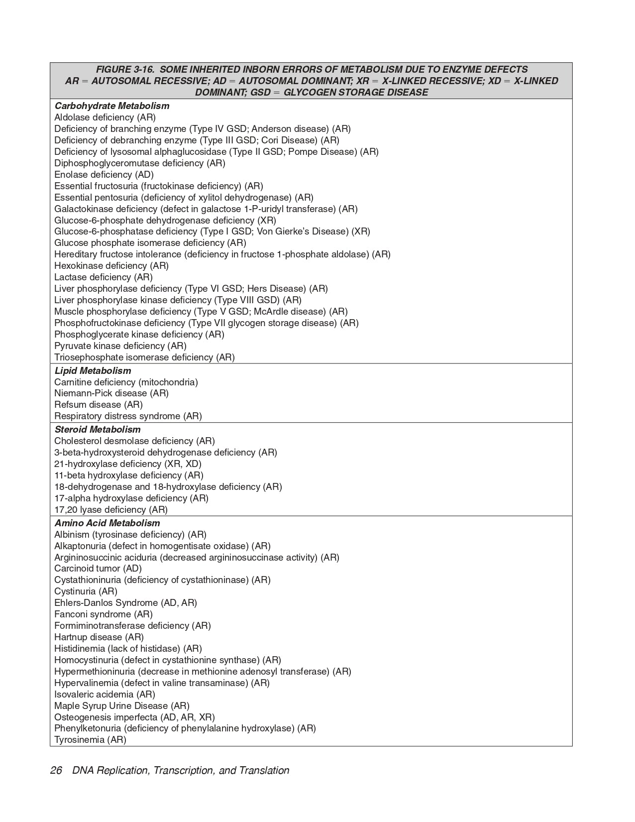
Chapter 3. DNA Replication, Transcription, and Translation
Replication of DNA
-Transposons
-Tandem Repeats
Transcription of DNA into RNA
-Introns
-Transcription Factors
Translation of RNA into Proteins
-Messenger, Transfer, and Ribosomal RNA
-Protein Modification
-Mitochondrial Inheritance
Chapter 4. Chromosomal Abnormalities
Too Many or Too Few Chromosomes
Translocation of Chromosome Segments
Inversion of Chromosome Segments
Duplications and Deletions of Chromosome Segments
DNA Point Mutations
Chapter 5. Epigenetic Disorders
Chapter 6. Cancer
Inherited Cancer
Chapter 7. History and Physical Exam
Pedigree Tree
Chapter 8. Laboratory
Should You Do Genetic Testing?
Indications for Referral and Cytogenetic Testing
Cytogenetic Screening Tests
Polymerase Chain Reaction (PCR)
Fluorescence In Situ Hybridization (FISH)
Next Generation Sequencing
Chapter 9. Treatment
CRISPR
Treatment of Cancer
-Immunotherapy
Pharmacogenomics
Chapter 10. Homeobox Genes
Appendix.
Diseases
Index